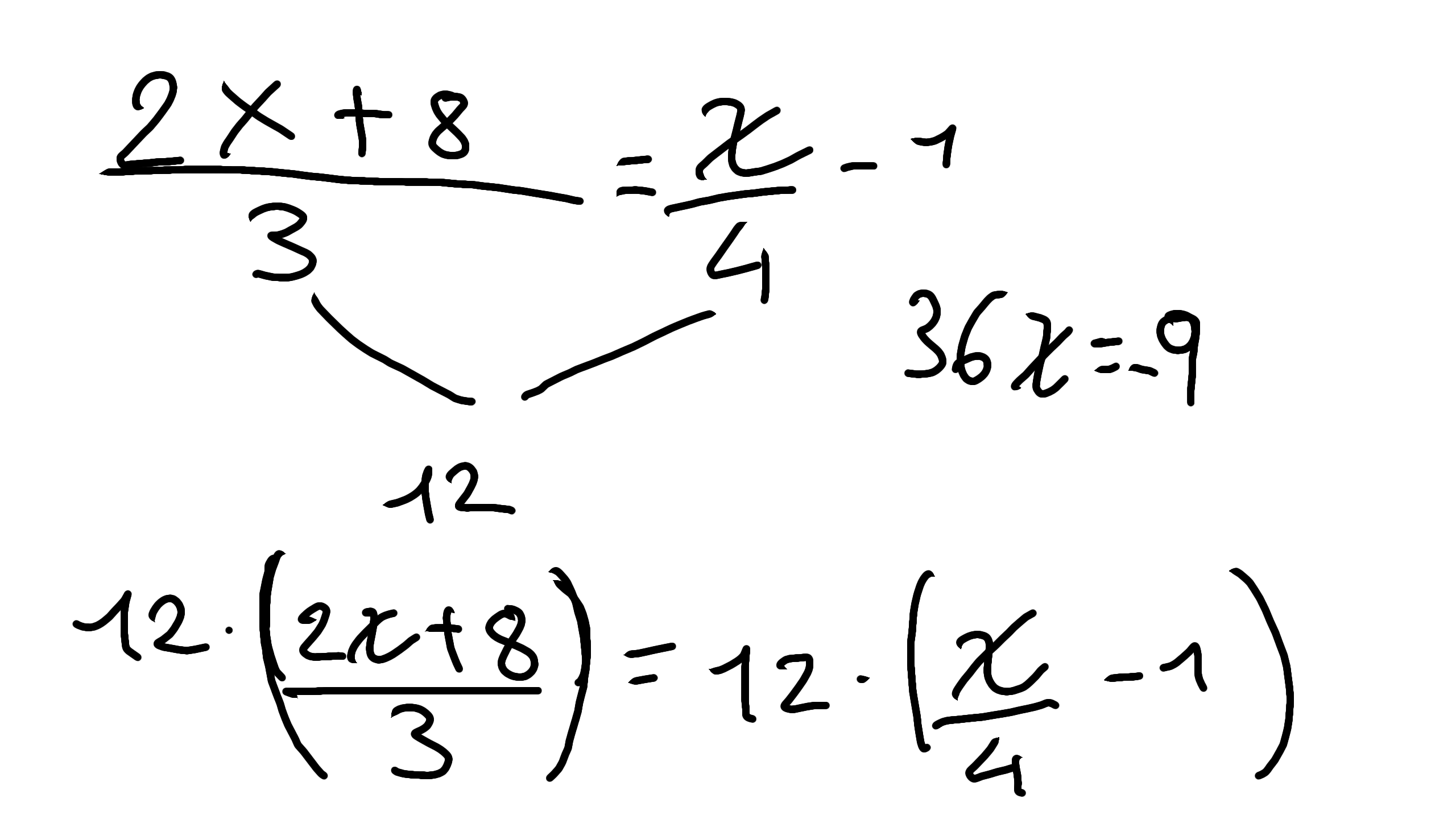
@ditty 36x=-9 so 36:-9=-4!!! the answer should be -4 #pandafav
07 Feb, 2026, 1:56 pm
:0
07 Feb, 2026, 1:57 pm
I couldnt do that :o
07 Feb, 2026, 3:40 pm
@rose-lily i'm not sure of the result i had -7 like answer too so there is a 50% chance that is right :sweat_smile:
07 Feb, 2026, 4:28 pm
why ・12 ?
its right but i still dont know howww :sob:
07 Feb, 2026, 4:45 pm
OMG you are sooo smart
07 Feb, 2026, 6:20 pm
@ditty x12 because to Semplify that we ue the minimum common multiplier , in this case 3x4=12 so the mcm(minimum common multiplier) clear?
use*
07 Feb, 2026, 6:21 pm
@ditty tysm!
07 Feb, 2026, 7:21 pm
but wait you dont make 36:-9 you need to do -9:36 because the 36 is the beginning of the xlooks how i sloved it.l
07 Feb, 2026, 7:23 pm
i mean if 36x=9 so like half from 36 its 18 so 18x= 4.5 so its not right that 36x= -9 but yes x=-4
07 Feb, 2026, 7:26 pm
oops -9 and half its -4.5
07 Feb, 2026, 7:27 pm
like if 18x=-4.5 and 9x=2.25 its can be that x=-4
07 Feb, 2026, 7:34 pm
(2x+8):3 = x:4+1 /・12(2x・12+8・12):3 = (x・12):4+1・12(24x+96):3 = 12x:4+128x+32 = 3x+12 /-3x5x+32 = 12 /-325x = -20 /:5x = -4:clap:
08 Feb, 2026, 6:22 am
@ditty okiii!
The Colors! Gallery moderators will look at it as soon as possible.
English
Japanese
Comments
07 Feb, 2026, 1:56 pm
:0
07 Feb, 2026, 1:57 pm
I couldnt do that :o
07 Feb, 2026, 3:40 pm
@rose-lily i'm not sure of the result i had -7 like answer too so there is a 50% chance that is right :sweat_smile:
07 Feb, 2026, 4:28 pm
why ・12 ?
07 Feb, 2026, 4:28 pm
its right but i still dont know howww :sob:
07 Feb, 2026, 4:45 pm
OMG you are sooo smart
07 Feb, 2026, 6:20 pm
@ditty x12 because to Semplify that we ue the minimum common multiplier , in this case 3x4=12 so the mcm(minimum common multiplier) clear?
07 Feb, 2026, 6:20 pm
use*
07 Feb, 2026, 6:21 pm
@ditty tysm!
07 Feb, 2026, 7:21 pm
but wait you dont make 36:-9 you need to do -9:36 because the 36 is the beginning of the x
looks how i sloved it.l
07 Feb, 2026, 7:23 pm
i mean if 36x=9 so like half from 36 its 18 so 18x= 4.5 so its not right that 36x= -9 but yes x=-4
07 Feb, 2026, 7:26 pm
oops -9 and half its -4.5
07 Feb, 2026, 7:27 pm
like if 18x=-4.5 and 9x=2.25 its can be that x=-4
07 Feb, 2026, 7:34 pm
(2x+8):3 = x:4+1 /・12
(2x・12+8・12):3 = (x・12):4+1・12
(24x+96):3 = 12x:4+12
8x+32 = 3x+12 /-3x
5x+32 = 12 /-32
5x = -20 /:5
x = -4
:clap:
08 Feb, 2026, 6:22 am
@ditty okiii!